
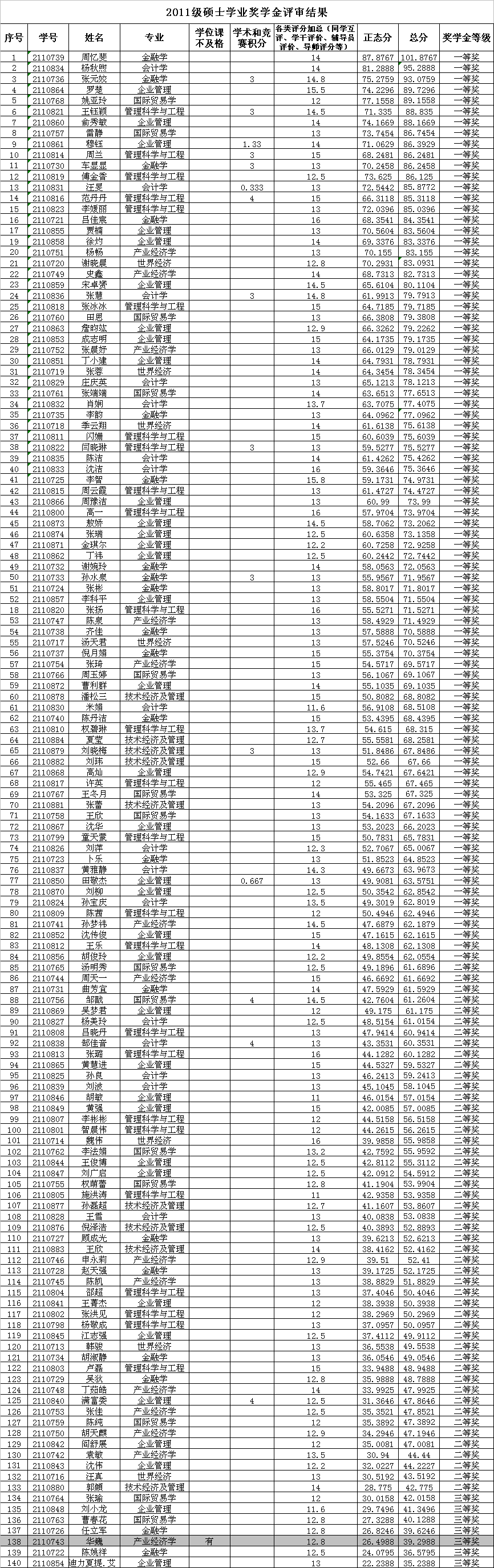
| 2011级学术型硕士学业奖学金评审结果 |
| 发布人:黄基诞 发布时间:2012-10-10 浏览次数:1193 |
公示时间为10月8日至11日,对结果有疑问的或者分数加错了的请到旭日楼526找王丽华老师或者12宿204找汪存发老师。 |
Copyright 2019 澳門漁人码头
版权所有 ,延安路校区:上海市延安西路1882号 200051
沪ICP备05003365 电话:+86 21 62373621 传真:+86 21 62373621 E-mail:mavyrmtcn.com





